くらし [特集]令和6年度決算のあらまし(1)
- 1/42
- 次の記事
- 発行日 :
- 自治体名 : 千葉県館山市
- 広報紙名 : 広報だん暖たてやま 令和七年10月号
市民の皆様の税金がどのように使われているか明らかにするため、令和6年度決算について公開します。
一般会計を中心に、決算の概要と財政状況をお知らせします。
※本記事内の金額や割合は、四捨五入しているため内訳と合わない、もしくは100%にならない場合があります。
■令和6年度 一般会計決算額
歳入 261億9,763万円
歳出 251億582万円
実質収支 10億1,963万円
一般会計+特別会計(介護+国保+後期) ※下水道事業会計を除く
歳入・395億7,803万円、歳出・380億3,247万円
館山中学校新校舎等の整備、認定こども園OURS館山の整備など、前年度(令和5年度)に引き続き複数の大規模事業が集中したことなどから、決算額は前年度とほぼ同額となりました。
▽一般会計歳入歳出及び実質収支の推移

実質収支とは:歳入(収入)と歳出(支出)の差額から、翌年度に繰り越すべき財源を差し引いたもので、純剰余金(純損失)となるもの。
▽歳入 主なもの
【歳入の特徴(対前年度比)】
・地方交付税 50.7億円 +3.2億円(+6.8%)
国の算定係数の増加(全国的な増加)や、国の税収の増加に伴う12月の追加交付による増。
・市債 30.1億円 -11.7億円(-27.9%)
前年度と比較し、清掃センター基幹的設備改良事業などの大規模工事事業が終了したことなどによる減。

(凡例)
●国・県支出金…特定事業経費の一部を国や県から交付されるもの(公共施設の改修費、児童手当、選挙費用など)
◆市税…市民税、固定資産税、たばこ税など
■地方交付税…全国の自治体が一定レベルの行政サービスができるよう、財政力に応じて国から交付されるもの
▲市債…公共施設などの整備・改修のため、国や銀行から借りるもの(市の借金)
◆繰入金…基金(貯金)からの取崩金
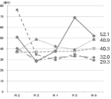
▽歳出 主なもの
【歳出の特徴(対前年度比)】
・人件費 40.3億円 +2.5億円(+6.5%)
職員給料の改定があり増加。
・扶助費 48.9億円 +3.2億円(+7.1%)
物価高騰対応重点支援臨時交付金を活用した給付金があり増加。
・投資的経費 52.1億円 -16.9億円(-24.5%)
清掃センター基幹的設備改良事業、食のまちづくり拠点施設整備事業などの終了による減。

(凡例)
◆投資的経費…道路・学校などの公共施設の改修費用
▲扶助費…生活困窮者・障害者などのサポート費用(生活保護費、児童手当など)
■人件費…市長や市職員、消防団員などに対する費用
◆物件費…消耗品の購入や業務委託など、消費的な性質を持つ費用
●補助費等…各種団体に対する補助金や負担金
■市債(借金)残高の推移
令和元年台風災害からの復旧事業や新給食センターの建設事業などの実施により、一般会計は近年増加傾向にありました。
令和6年度は、前年度に引き続き、館山中学校整備事業を実施したことなどによって、市債残高が増加しています。

▽市債の役割
(1)世代間負担の公平性…将来にわたり利用される公共施設(道路、学校など)は、整備した年の市民が負担するだけでなく、将来住む人にも平等に負担を求めるため
(2)単年度の財源確保…大規模事業に取り組むときに、市債により収入を確保することで、他の必要な行政サービスを滞りなく実施するため
■基金(貯金)現在高の推移
前年度決算における決算剰余金を財政調整基金に積立した一方で、館山中学校新校舎等の整備、認定こども園OURS館山の整備など、前年度に引き続き複数の大規模事業が集中したため、財政調整基金のほか、庁舎等建設基金、前澤友作館山応援基金などの特定目的基金を取り崩したことにより減少しました。

▽基金の種類
(1)使途が決まっているもの…庁舎等建設基金など
(2)不測の事態に備えるもの…財政調整基金:保有額は、自治体の資金力を表すもので、“財政運営のかなめ”と言える。
(3)特定の目的のため定額の資金を運用して事業を推進するもの…看護師等修学資金貸付基金など
